This form is used by a buyer agent for a non-occupying buyer to acquire an interest in an owner-occupied one-to-four unit residential property in foreclosure when a mortgage payoff is discounted, to prepare an offer complying with rules for an equity purchase transaction containing a short sale contingency provision.

Equity purchase transactions
An equity purchase (EP) transaction occurs when the owner-occupant of a one-to-four unit residential property in foreclosure conveys the property to a buyer who acquires it for rental, investment or dealer purposes. The buyer is referred to as an EP investor.
When the buyer acquires the property for use as their personal residence, an EP transaction does not occur, and EP rules do not apply.
Equity purchase statutes apply to all EP investors regardless of the number of EP transactions the investor completes, or whether the investor is in the business of buying homes in foreclosure. [Segura v. McBride (1992) 5 CA4th 1028]
The EP investor and all agents involved in the transaction use a written agreement containing statutory EP notices. Failure to use the correct forms subjects the EP investor and their agents to liability for all losses incurred by the seller-in-foreclosure, plush significant penalties. [Segura, supra]
Editor’s note – The Equity Purchase Agreement published by Realty Publications, Inc. (RPI) complies with all statutory requirements and properly sets forth the right of the seller-in-foreclosure to cancel. [See RPI Form 150-6]
Cancellation may occur within five business days
After entering into an agreement to sell their principal residence that is in foreclosure, the seller-in-foreclosure has a five-business-day right to cancel the agreement. This period commences on acceptance of an EP agreement containing the notice of the seller’s cancellation rights. During this time period, the seller is permitted to cancel the sale, with or without cause.
The seller’s cancellation period expires at:
- Midnight (12:00 a.m.) of the fifth business day following the day the seller accepts an EP agreement; or
- 8:00 a.m. of the day scheduled for the trustee’s sale, whichever occurs first. [Calif. Civil Code 1695-4(a)]
A business day is any day except Sunday and the following federal holidays:
- New Year’s Day;
- Washington’s Birthday;
- Memorial Day;
- Independence Day;
- Labor Day;
- Columbus Day;
- Veterans’ Day;
- Thanksgiving Day; and
- Christmas Day.
When the EP investor acquires title and transfers or encumbers the property before the cancellation period expires after notice, the EP investor is further subject to:
- a statutory penalty of three times the amount of the seller’s monetary losses; or
- a minimum $2,500 civil penalty. [CC 1695.7]
An EP investor who violates the five-day cancellation period or takes unconscionable advantage of the seller-in-foreclosure is subject to imprisonment and a fine no greater than $25,000 or both for each violation. [CC §1695.8]
“Unconscionable advantage” includes the engagement in any practice which operates as a fraud or deceit upon the seller-in-foreclosure.
The equity purchase agreement with short sale contingency
The short sale, also known as a short payoff, resurfaced during the recovery from the Great Recession of 2008.
In a short sale, the lender accepts the net proceeds at closing in full satisfaction of the greater amount of mortgage debt.
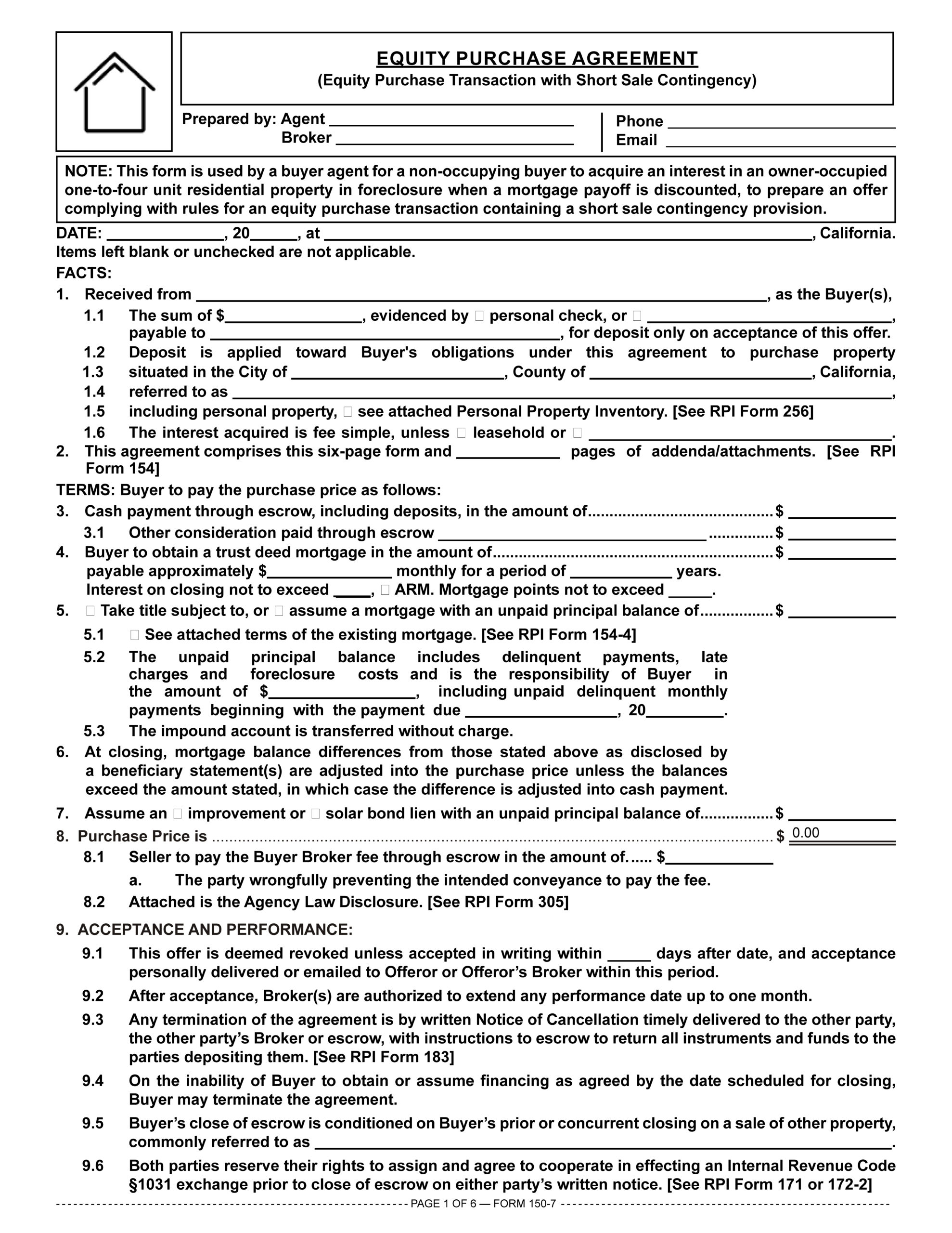
EP investors who do not plan to occupy the property in foreclosure they purchase in a short sale use an equity purchase agreement with a short sale provision. [See RPI Form 150-7]
An agent facilitating short sale negotiations with the seller’s lender needs to understand:
- California anti-deficiency law;
- the trust deed foreclosure process and documentation;
- complications over clearing the title of any junior financing encumbering the property in situations where the amount of the first mortgage is either less or more than the short sale net proceeds; and
- the seller’s income and net worth financial situations.
When a seller seeking a short sale has more than one lien encumbering their property, all mortgage holders are required to consent to the short payoff.
A buyer’s agent uses the Equity Purchase Agreement with Short Sale Contingency published by RPI when an investor will purchase a negative equity, owner-occupied one-to-four unit residential property in foreclosure. It allows the agent to prepare an offer containing a short sale contingency provision and all the terms, conditions and disclosures required of an equity purchase transaction. [See RPI Form 150-6]
When a buyer intends to purchase a one-to-four unit residential property as their primary residence and is therefore not an equity investor, the buyer’s agent uses a standard purchase agreement containing a short sale contingency provision. [See RPI Form 150-5]
The sections contained in the Equity Purchase Agreement with Short Sale Contingency include:
- Facts: The identity of the investor, the sum of the good faith deposit, the city and county where the real estate is located, the physical address and addenda to be attached are determined in Sections 1 and 2.
- Terms: The purchase price to be paid by the buyer is totaled and entered in Sections 3 through 7.
- Acceptance and performance: The conditions for the offer are established in Section 8.
- Property conditions: Prior to closing, the seller agrees to provide the listed reports, inspections, disclosures and certifications, including a structural pest control inspection report, a home inspection report, a one-year home warranty policy, a certificate of occupancy, a certification by a licensed contractor stating the sewage disposal system is functioning properly, a certification by a licensed water testing lab stating the well supplying the property meets potable water standards and how many gallons per minute the well produces, the Transfer Disclosure Statement (TDS), the Transfer Fee Disclosure Statement and the Seller’s Natural Hazard Disclosure (NHD) Statement, all detailed in Section 9.
- Closing conditions: All information regarding escrow conditions is entered in Section 10.
- A notice of the buyer’s supplemental property tax bill: The buyer is informed that property tax assessment applies each time a change of ownership occurs in Section 11.
- A loan discount condition: The buyer is notified of the conditions of the short sale contingency in Section 13.
- A broker’s compensation declaration: The broker’s fee for services rendered is entered in Section 15.
- Signatures: The seller and EP investor bind each other to perform as agreed in the purchase agreement by signing and dating their signatures to establish the date of offer and acceptance.
- Cancellation Notice: Separate from the actual EP Agreement with Short Sale Contingency is the form completed by the EP investor, in duplicate, which the seller will use if they choose to cancel the agreement. By signing and delivering one of the easily detachable cancellation forms to the EP investor at any time before midnight of the fifth business day after the date the seller signs the agreement, the seller effectively cancels the entire EP agreement, with or without reason.
Form navigation page published 05-2021.
Form last updated 01-2026.
Form-of-the-Week: Equity Purchase Agreement and Equity Purchase Agreement with Short Sale Contingency – Forms 156 and 156-1
Real Estate Knowledge Explained: Short sales, explained
FARM: Short sales: What you need to know
Article: How to facilitate a shortsale transaction
Video: Purchasing the Equity in a Seller’s Residence in Foreclosure








