Why this matters: For some 80 years, brokerage fees were fixed at 6% in California by a regime controlled by big brokerage operators via their trade union and its chain of local boards and their multiple listing service (MLS) operations. It was deemed price fixing since the buyer is barred from input. Yet, the buyer always funds broker fees paid by the seller — it’s in the price. The irony is the seller is given no choice but to agree to 6%.
For decades, courts ruling against broker price fixing had no sufficient enforcement mechanism to stop it. Legislation effective 2025 mechanically bifurcated fee negotiations by requiring brokers to enter into buyer representation agreements. Today, seller brokers are totally excluded from fee negotiations between the buyer and their buyer agent.
Representation requirements for “buyers” of real estate interests
A buyer agent assisting a buyer to locate and acquire an interest in real estate in expectation of a fee for their services is subject to the legislated mandate to:
- negotiate with the buyer the fee amount the agent’s broker earns and when it is earned; and
- enter into a written representation agreement with the buyer documenting the fee and term of the retainer period. [Calif. Civil Code §1670.50(a); See RPI Form 103.1 and 103.2]
The buyer representation agreement (BRA) must be entered into by the buyer agent:
- as soon as practicable (ASAP) after determining they are to represent the prospective buyer-client to locate and acquire real estate; and
- always before the buyer signs an offer to acquire an interest in any type of real estate. [CC §1670.50(a)]
Transactions to acquire an interest in any parcel of real estate are covered, including single family residences, multi-unit residential properties, commercial properties, raw land, ground leases coupled with improvements and mobilehomes classified as real estate. [CC §2079.13]
Many practitioners in the commercial real estate markets erroneously believe the buyer representation rules do not apply to them. They do. These agency rules are universal without exceptions. The policy objective of the rules is consumer protection from price gouging. When the consumer is a buyer-client seeking representation to acquire an interest in real estate, broker fees earned on acquiring either a fee simple or leasehold interest are covered. Arguments to the contrary do not lead to the public policy objective sought by California’s agency codes.
Related article:
Fee simple estates and leasehold estates
Consider a buyer purchasing a home to live in, the ownership structured as a long-term ground lease no matter its remaining term. The lease rent represents the value of use of the parcel, but not the rental value of the improvements. The price paid for the home reflects the value of the use of the improvements, subject to the long-term ground lease on the real estate parcel.
The buyer’s purchase-assist mortgage is secured by the buyer’s leasehold interest acquired by assignment of a lease agreement or conveyance on entering into a ground lease agreement.
The buyer’s representation form encompasses all types of real estate acquisition options that might be available and chosen by the client, including:
- a long-term lease agreement with rent based on the land value, excluding improvements; or
- the purchase of fee ownership covering both land and improvements.
Realty Publications, Inc. (RPI) publishes representation agreements which include both options. [See RPI Form 103.1, 103.2, 105.1, 105.2]
Long-term ground leases
The same client acquisition is covered in tenant representation agreement forms as in the buyer representation agreement forms. A homebuyer with a long-term lease owns a leasehold interest. By first glance at a property, you cannot differentiate between properties with leasehold-type ownership and those with fee simple ownership for the user. Further, a broker’s agency duties are the same no matter the type of ownership acquired.
The ownership distinction lies in the financing. For fee simple ownership, a mortgage is obtained to fund the acquisition with interest payments made to the lender. For leasehold ownership, the “lender” involved is the landlord who receives rent payments for letting the property. Rent is equivalent to interest paid to a lender had the acquisition of fee simple been funded by a mortgage lender. Both arrangements provide the user with the occupancy of the property for a monthly payment. For a cash buyer of the fee, the monthly cost is the lost opportunity to receive interest on the cash.
Alternatively, two sets of financing are needed for ground lease situations:
- a land lease with rent (the economic equivalent of interest on the value of the use of the parcel); and
- a mortgage as a lien on the buyer’s leasehold interest in the amount of the value of the improvements on the parcel (usually after a down payment).
In the event of default, the mortgage holder secured by a leasehold interest forecloses to sell the tenant’s leasehold ownership for its value through a trustee’s sale. The property is resold for the value of the improvements only, and the new buyer becomes the owner of the leasehold with the right to possession subject to the ground lease agreement.
Tenant representation agreement forms
To align tenant representation agreements for compliance with buyer representation rules as one must, two variations of exclusive tenant representation agreements covering all types of real estate parcels and acquisition options are used:
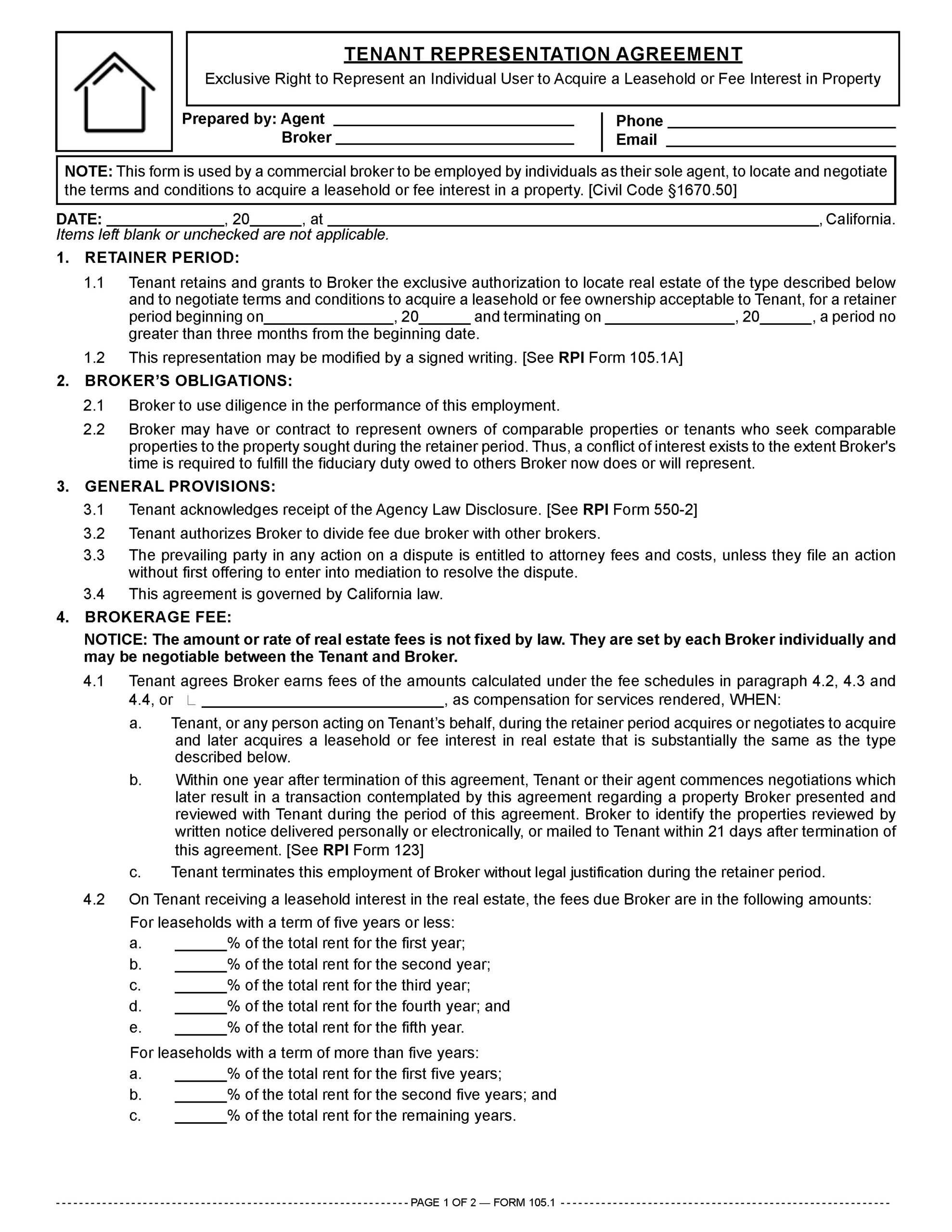
- When the buyer-client you represent is an individual, the form used has a retainer period capped at three months. [See RPI Form 105.1]
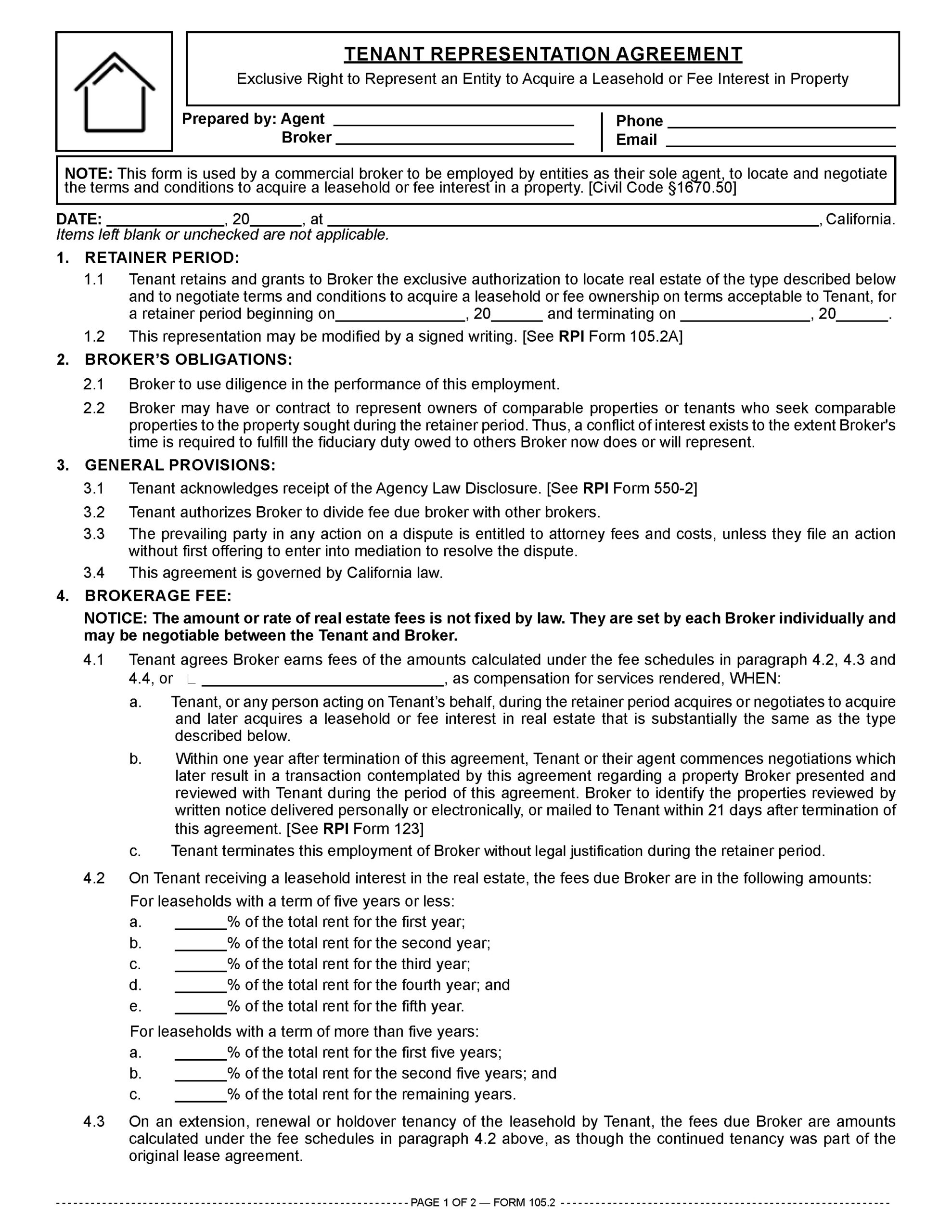
- When the buyer-client you represent is an entity, the form used leaves expiration of the retainer period open to negotiations. [See RPI Form 105.2]
Payment of buyer broker fees are only protected when included in a representation agreement signed by the client, whether the user-client acquires a fee or leasehold interest during the representation or later.
A commercial tenant acquires fee ownership
Commercial property users, like occupants of residential property, may prefer to occupy a property as tenants. Often, the user is open to acquiring the fee simple interest — when financially advantageous.
Tenant brokers enter into a tenant representation agreement to ensure they are paid a fee on both leasehold and fee simple acquisitions by their tenant-client, now or in the future. Tenant brokers do present their clients with properties available for sale, lease, or both, when locating suitable property to occupy. The difference between a sale and lease is whether or not the user makes a cash capital commitment or a consumer commitment to pay rent for the occupancy.
Both tenant representation agreements safeguard brokers against the inability to collect or claw-back future fees earned and complaints to the Department of Real Estate (DRE) related to those fees.
Regulatory aspects under DRE authority to review licensing status
The DRE is now legislatively directed to police buyer representation and broker fee compliance under antitrust codes for fee ownership transactions. Future legislation will expand DRE authority to include tenant representation agreements for fees earned negotiating leasehold transactions.
Also, tenant brokers need to consider the existence of fee agreements in today’s leasing transactions which state a fee is earned when the client later acquires fee ownership to the leased property. The present agreement to earn a future fee is controlled by the buyer representation codes mandating compliance today to collect that future fee.
To better understand a tenant broker’s fee arrangements, a “buyer” is broadly defined in real estate agency codes to include, with fee simple buyers, a tenant acquiring a leasehold interest in real estate. The policy purpose is to ensure fee simple buyers and leasehold tenants receive the same consumer protections and agency duties owed to anyone acquiring either interest in real estate when assisted by a broker. [CC §2079.13(p)]
Also, understand that public policy protecting consumers of services in real estate transactions is in its early stage of evolving at both state and federal levels. In this context, brokers need to lean into it, if for no other reason than to protect the fees they expect to earn. Thus, enter into written representation agreements with all clients who intend to buy or lease. [See RPI Forms 103.1, 103.2, 105.1 and 105.2]
Analyzing the buyer representation agreement
A buyer broker uses the Buyer Representation Agreement published by RPI when agreeing to be employed by individuals or entities as their sole agent to render services necessary to acquire an interest in real estate. [See RPI Form 103.1 and 103.2]
The buyer representation agreement (BRA) includes:
- Retainer period: for individuals, the date the retainer period expires to end the employment may not exceed three months from the date of the agreement. For entities, the retainer period may be for any duration the broker and entity client negotiate as the three-month limitation for individuals does not apply. [See RPI Form 103.1 and 103.2 §1]
- Broker obligations: the broker commits to use diligence in serving the buyer’s needs in exchange for a fee as well as disclose conflicts of interest involving their representing other clients with similar needs as the tenant-client. [See RPI Form 103.1 and 103.2 §2]
- General provisions, such as:
- the buyer’s acknowledgement they have received the Agency Law Disclosure [See RPI Form 305];
- the buyer’s authorization that the broker may divide fees earned with other brokers, such as the seller broker;
- a mediation and attorney fees provision; and
- the agreement is governed by California law. [See RPI Form 103.1 and 103.2 §3]
- Brokerage fee: the buyer agrees the broker earns a fee, either a percentage of the purchase price, or a fixed fee, when:
- the buyer’s objective is achieved during the retainer period;
- the buyer acquires a property within one year after the representation expires and when the broker introduced the buyer to the property during the representation period; or
- the buyer terminates the broker’s employment without justification during the retainer period. [See RPI Form 103.1 and 103.2 §4.1]
- The broker fees are the obligation of the buyer to pay except when the seller agrees to pay the fee. [See RPI Form 103.1 and 103.2 §4.2]
- The broker and buyer may agree to an hourly rate earned by the broker and paid by the buyer when the representation terminates without the broker otherwise earning a fee. [See RPI Form 103.1 and 103.2 §4.3]
- Type of real estate sought: the broker enters a general description, location and size for the property sought. When the client will consider leasing, the agent enters the location, rental amount and term sought. [See RPI Form 103.1 and 103.2]
- Signatures: the broker, agent and buyer date and sign the prepared form.
Related article:
FOTW: Buyer Representation Agreements and Renewals — Forms 103.1, 103.2, 103.1A and 103.2A
Analyzing the tenant representation agreement
A commercial tenant broker uses the Tenant Representation Agreement published by RPI when employed by individuals or entities as their sole agent. Here, the tenant broker agrees to locate and negotiate the conditions for acquiring a leasehold interest in a property, or as an alternative, acquire a fee interest. [See RPI Form 105.1 and 105.2]
Both versions of the Tenant Representation Agreement contain provisions addressing:
- Retainer period: the tenant broker enters the beginning and end dates of the retainer period. For individuals, this period is limited to no greater than three months from the beginning date. For entities, the retainer period may be negotiated for any length of time and is not limited to the three-month period for individuals employing a broker. [See RPI Form 105.1 and 105.2 §1]
- Broker obligations: the tenant broker agrees to use diligence in the employment as well as disclose conflicts of interest involving their representing other clients with similar needs as the tenant-client. [See RPI Form 105.1 and 105.2 §2]
- General provisions: the Agency Law Disclosure is provided to the tenant as mandated, the tenant authorizes the broker to divide any fee earned with other brokers, and a mediation provision and choice-of-law provision are included. [See RPI Form 105.1 and 105.2 §3]
- Brokerage fee: includes a boilerplate notice about real estate fees being negotiable between the tenant and broker and not fixed by law, as well as the amount and payment of broker fees, including:
- the amount due when the tenant acquires real estate substantially the same as the type sought during the retainer period or within one year, or the tenant terminates the broker’s employment without legal justification during the retainer period [See RPI Form 105.1 and 105.2 §4.1];
- the percent the broker is due to receive each year on a leasehold interest [See RPI Form 105.1 and 105.2 §4.2];
- the amount the broker receives from the tenant on acquisition of fee ownership of the real estate [See RPI Form 105.1 and 105.2 §4.4];
- the tenant is due to pay all broker fees unless the owner agrees to pay them [See RPI Form 105.1 and 105.2 §4.5]; and
- an hourly rate as an alternative to percentage fees. [See RPI Form 105.1 and 105.2 §4.6]
- Type of space sought: the broker enters a general description of the real estate, its location, size, rental amount and term the tenant needs for occupancy. [See RPI Form 105.1 and 105.2]
- Signatures: the broker and tenant date and sign the prepared form.
Related article:













