This form is used by a corporate broker entity when employing an individual broker as its designated officer, to establish their duties as the designated officer and the fee schedule for their earnings.
The designated officer and the corporate broker
A designated officer is the licensed real estate broker who is appointed as the responsible officer for a corporation conducting real estate brokerage activities as licensed and governed by the California Department of Real Estate (DRE).
A corporation may not qualify to hold a broker license on its own. Thus, the DRE requires an individual licensed as a broker to be a corporate officer — such as a president, vice president or secretary — to act and be also licensed as the corporation’s designated officer (DO).
The DO is responsible for supervising the corporation’s employees and their real estate activities to ensure compliance with California real estate law, a duty owed the DRE. The DO may assign supervisory responsibilities over licensed salespersons of the corporation to additional licensed broker-officers. The corporation gives the DRE written notice of this change within five days of the assignment. [See DRE RE 210]
Through the DO, the corporation is authorized to perform brokerage services and employ licensed salespersons and broker-associates.
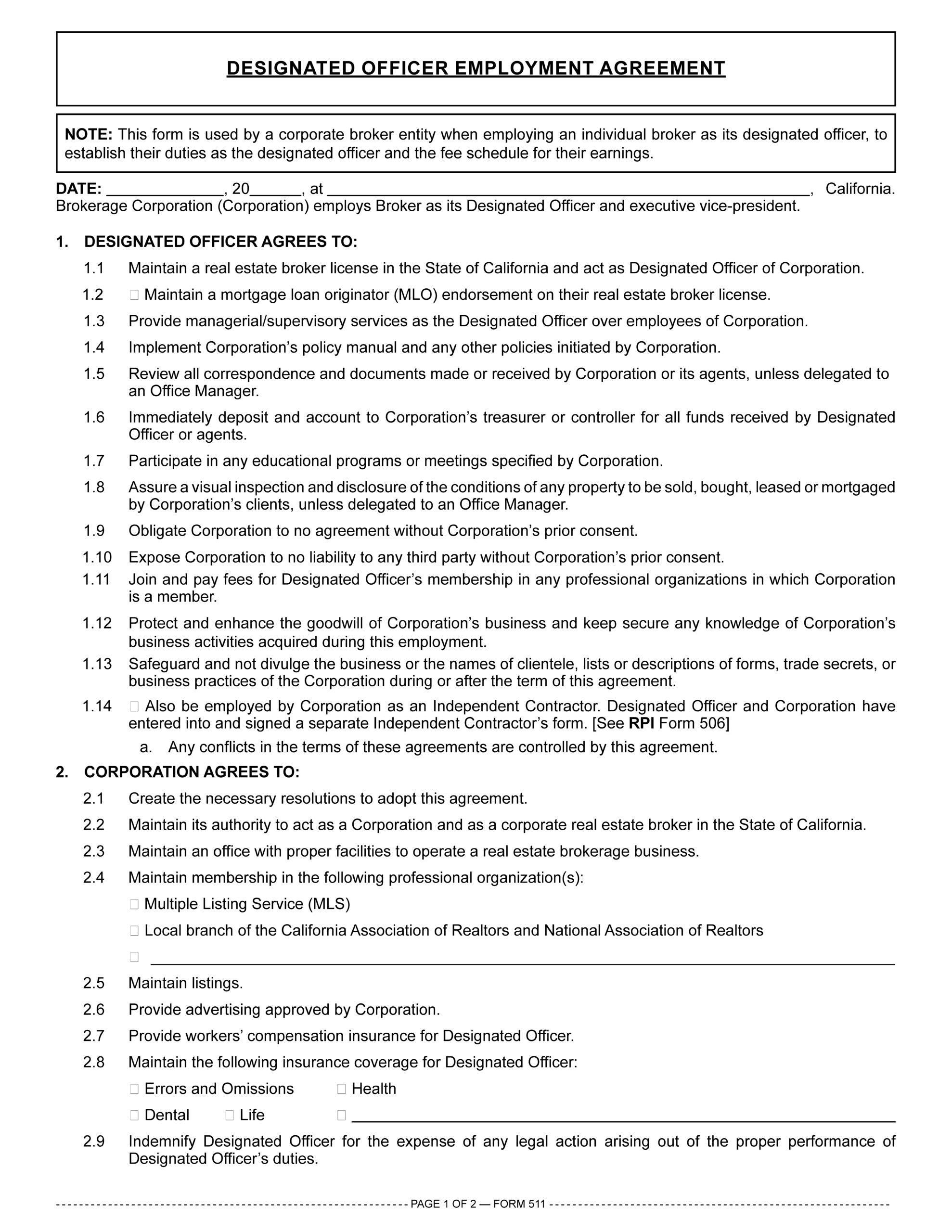
A real estate corporation employs an individual broker as its designated officer and establishes their duties as the designated officer and fee schedule for their earnings using the Designated Officer Employment Agreement. [See RPI Form 511]
Breaking down the DO employment agreement
A corporation to be licensed as a broker uses the Designated Officer Employment Agreement published by Realty Publications, Inc. (RPI) when employing an individual broker as its designated officer (DO). The agreement establishes the DO’s duties as the designated officer and the fee schedule for their earnings. [See RPI Form 511]
The Designated Officer Employment Agreement contains:
- the date the corporation employs the broker as its designated officer;
- a list of boilerplate conditions of the employment the designated officer agrees to [See RPI Form 511 §1];
- a checkbox indicating whether the DO is also employed as an independent contractor of the corporation to also be a broker-associate dealing with members of the public on behalf of the corporation [See RPI Form 511 §1.13];
- a list of boilerplate conditions of the employment the corporation agrees to, with a blank for listing other conditions [See RPI Form 511 §2];
- the designated officer’s fee schedule, including the percentage of monthly fees for which the DO is to be compensated [See RPI Form 511 §3];
- termination conditions, which requires termination in writing, the DO to not interfere with the corporation’s relationship with clients and employees for one year after termination, and for one year after termination and within 25 miles of the office, the DO will not employ any real estate licensee employed by the corporation during the six months prior to termination [See RPI Form 511 §4];
- general provisions, including dispute resolution agreements and a checkbox where an addendum may be attached for additional terms [See RPI Form 511 §5]; and
- signatures of the designated officer and brokerage corporation, creating the assignment of the broker as the corporation’s designated officer. [See RPI Form 511]
Form updated 03-2026.
Form navigation page published 03-2026.
Form-of-the-Week: Designated Officer Employment Agreement, and Real Estate Team Agreement — Forms 511 and 512
Article: What it takes to be a broker
Letter to the Editor: When does a broker who receives a real estate fee need to disburse their agent’s share of the fee?
Brokerage Reminder: Sole proprietorship vs. corporation – it’s the broker’s call
Brokerage Reminder: Receiving, sharing and splitting fees
Brokerage Reminder: The agent of the agent – reasonable supervision required
DRE Hot Seat: Designated officer assumes responsibility over mismanaged brokerage










This article provides very useful information.