Why this matters: A seller agent uses the Natural Hazard Disclosure Statement to disclose the existence of natural hazards on the sale of any type of real estate to a prospective buyer and the Fire Hardening and Defensible Space Disclosure Statement when the property is in a high fire hazard severity zone to disclose retrofits, local vegetation management ordinances and fire hardening measures the buyer is to consider.
Natural hazards
Natural hazards are risks to life and property which exist in nature due to a property’s location, not human made hazardous conditions.
Whether a seller retains a broker to market any type of property for sale or markets it themselves, the seller is obligated to disclose to prospective buyers any natural hazards known to the seller, including those contained in public records.
To unify and streamline a uniform disclosure of natural hazards adversely affecting the use of a property, the California legislature created a statutory form entitled the Natural Hazard Disclosure (NHD) Statement. [See RPI Form 314]
The seller and seller agent are required to deliver the NHD Statement to the buyer as soon as practicable (ASAP) before entering into a purchase agreement on one-to-four unit residential property.
The NHD Statement is included in the property’s marketing package handed to prospective buyers on the commencement of negotiations, the ASAP aspect of disclosure law, along with the:
- Transfer Disclosure Statement (TDS) to disclose adverse property conditions and its environmental hazards [See RPI Form 304]; and
- Home Inspection Report (HIR) to properly prepare the TDS and mitigate risks to the seller and broker. [See RPI Form 130]
Delivery of the NHD Statement to the buyer is required to be documented by a provision in the purchase agreement for the seller and the seller agent to be compliant. A counteroffer may be used by the seller to assure timely delivery under the code. [See RPI Form 150 §4.3]
When the buyer agent receives the NHD Statement from the seller or the seller agent, the buyer agent is obligated to hand it to the buyer, called delivery. [Calif. Civil Code §1103.12(a)]
Sellers and seller agents of any type of real estate are to disclose whether the property is located in:
- an area of potential flooding;
- a very high fire hazard severity zone;
- a state fire responsibility area;
- an earthquake fault zone; and
- a seismic hazard zone. [CC §1103.2]
Related video:
Read more about the NHD Statement.
Very high fire hazard severity zones
Areas in the state which are subject to significant fire hazards have been identified as very high fire hazard severity zones. When a property is located in a very high fire hazard severity zone, a disclosure needs to be made to the prospective buyer. [See RPI Form 314 §3]
The city, county or district responsible for providing fire protection have designated, by ordinance, very high fire hazard severity zones within their jurisdiction. [Calif. Government Code §51179]
The fire hazard disclosure on the NHD form informs the buyer about the need to maintain the property. Neither the seller nor the seller agent is obligated to volunteer an explanation about the nature of the maintenance required or its burden on ownership.
Once the buyer receives the seller’s NHD statement, it is the buyer’s duty to inquire into and investigate the type of maintenance and the consequences of owning property subject to the maintenance. Further, it is the duty of the buyer agent to advise the buyer about maintenance and consequences of the disclosure.
For example, a homebuyer interested in acquiring a residence located in a very high fire hazard severity zone is advised by their buyer agent that as the new owner, the buyer is to, among other things:
- maintain a firebreak around the structure of a distance of no greater than 100 feet, but not past the property line, unless the state or local law requires more; and
- clear dead or dying wood from trees and plants adjacent to or overhanging the structure.
Also, when the property is in a very high fire hazard severity zone or a wildland area, the buyer agent informs the client of:
- the possible hardships in obtaining fire or hazard insurance; and
- the existence of the California Fair Access to Insurance Requirements (FAIR) program, a “last resort” type of policy for properties in these areas. [Calif. Insurance Code §§10095 et seq.]
Related video:
Read more about fire risk zones.
Fire hardening and defensible space disclosure
A seller of a one-to-four unit residential property located in a high or very high fire hazard severity zone and constructed before January 1, 2010, is required to provide an additional fire disclosure notice to prospective buyers. The statutory language in the notice advises the buyer to consider the need for improvements to fire harden and create a defensible space to protect structures against damage from wildfires. [See RPI Form 314-1; CC §1102.6f]
The notice also lists home features that may make the home vulnerable to wildfire and flying embers. [See RPI Form 314-1 §1; CC §1102.6f(a)(3)]
The notice provides space to list any low-cost retrofits the seller completed on the property. [See RPI Form 314-1 §2; CC §1102.6f(a)(2)]
The disclosure also clarifies whether there is a local vegetation management ordinance on the property. [See RPI Form 314-1 §3; CC §1102.19]
Related article:
Wildfire protection is a statewide legislative concern for housing
Analyzing the NHD Statement
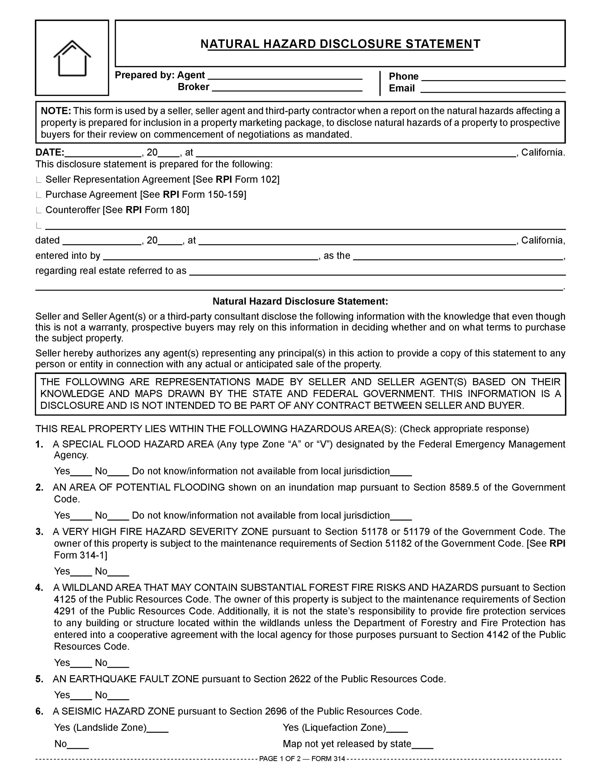
A seller, seller agent and third-party contractor use the Natural Hazard Disclosure Statement published by Realty Publications, Inc. (RPI) when they prepare a report on the natural hazards affecting a property for inclusion in the seller broker’s property marketing package. When prepared and delivered to the buyer or buyer agent, the form discloses natural hazards of a property to prospective buyers for their review on commencement of negotiations as mandated. [See RPI Form 314]
The NHD Statement contains:
- the date, location, form the disclosure is prepared for, address and seller’s identity [See RPI Form 314];
- yes or no checkboxes indicating whether the property is located in a(n):
- special flood hazard area [See RPI Form 314 §1];
- area of potential flooding [See RPI Form 314 §2];
- very high fire hazard severity zone [See RPI Form 314 §3];
- wildland area that may contain substantial forest fire risk [See RPI Form 314 §4];
- earthquake fault zone [See RPI Form 314 §5]; or
- seismic hazard zone [See RPI Form 314 §6];
- the third-party disclosure provider’s name and date; and
- signatures of the seller and seller broker, and buyer when they read and understand the representations made in the statement. [See RPI Form 314]
Related video:
Read more about the buyer agent’s duty to deliver.
Analyzing the Fire Hardening and Defensible Space Disclosure Statement
A seller or seller agent uses the Fire Hardening and Defensible Space Disclosure Statement published by RPI when marketing for sale a one-to-four unit residential property located in a high or very high fire hazard severity zone and constructed before January 1, 2010, or subject to local defensible space ordinances. The form is prepared by the seller or seller agent and handed to prospective buyers who further inquire into the property for their review of information on fire hardening vulnerabilities and local defensible space and vegetation management requirements. [See RPI Form 314-1]
The Fire Hardening and Defensible Space Disclosure Statement contains:
- the date and property address;
- a statutory fire hardening disclosure statement;
- notices including the seller is aware of the following features making the property vulnerable to wildfires:
- eave, soffit and roof ventilation where the vents have opening more than one-eight of an inch or are not flame and ember resistant;
- roof coverings made of untreated wood shingles or shakes;
- combustible landscaping or other materials within five feet of the home and under the footprint of any attached deck;
- single pane or non-tempered glass windows;
- loose or missing bird stopping or roof flashing; and
- rain gutters without metal or noncombustible gutter covers [See RPI Form 314-1 §1];
- a blank to list low-cost retrofits the seller has completed on the property during their ownership [See RPI Form 314-1 §2];
- checkboxes indicating whether the property is or isn’t subject to specific city or county vegetation rules in addition to state law [See RPI Form 314-1 §3];
- passing inspection reports on vegetation management or defensible space are attached, when applicable [See RPI Form 314-1 §3.1];
- seller does not have passing inspection reports on vegetation management or defensible space and either failed the report or doesn’t know whether the property complies with local ordinances [See RPI Form 314-1 §3.2];
- the seller or seller agent checks whether the buyer is to obtain passing reports within one year after the close of escrow, or the seller is to obtain passing reports and when they will be delivered to the buyer [See RPI Form 314-1 §3.3]; and
- signatures of the seller and buyer.
Related article:











