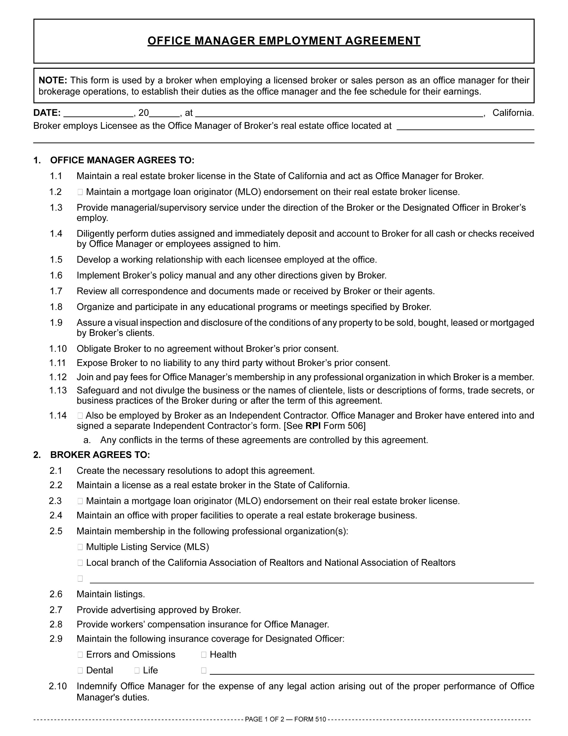
This form is used by a broker when employing a licensed broker or sales person as an office manager for their brokerage operations, to establish their duties as the office manager and the fee schedule for their earnings.
Delegation of certain supervisory activities
A sales agent employed by a broker is the agent of the broker. In turn, the broker is the agent of the client.
As an agent representing the broker, a real estate sales agent is authorized to prepare:
- listings;
- sales documents;
- disclosure sheets; and
- other documents on behalf of the broker.
A broker employing agents is required under the California Department of Real Estate’s (DRE’s) supervisory scheme to reasonably supervise sales agents’ activities.
Reasonable supervision includes establishing policies, rules, procedures and statements to review and manage:
- transactions requiring a real estate license;
- documents having a material effect upon the rights or obligations of a party to the transaction;
- the filing, storage and maintenance of documents;
- the handling of trust funds;
- advertisement of services that require a license;
- sales agents’ knowledge of anti-discrimination laws; and
- reports of the activities of the sales agents. [DRE Regulations §2725]
The broker may employ other licensees, such as an office manager or transaction coordinator, to carry out their supervisory responsibility to review documents and maintain files.
The review of documents and file maintenance is not just a mechanical function. It comprises a meaningful review of the activities of every employed licensee regarding:
- location of errors, such as in mathematical computations, and in contract and escrow provisions; and
- completeness, accuracy and timeliness of disclosures.
The broker, office manager or transaction coordinator reviewing documents ensures the sales agent cures any unacceptable documentation at the earliest possible moment.
A written agreement to carry out the broker’s responsibility for oversight and management of their sales agents’ activities in sales, leasing and mortgage transactions will be entered into between the broker and the licensed office manager or transaction coordinator they employ. [See RPI Forms 507 and 510]
While the office manager or transaction coordinator is assigned administrative duties, their primary responsibility is to review all correspondence and documents made or received by the agents on behalf of the broker.
Even though the broker employs the services of an office manager or transaction coordinator, the broker retains the overall supervisorial responsibility. Thus, the broker is to ultimately review the acts of the office manager, transaction coordinator, and in turn, each sales agent. [DRE Regs. §2725]
While acting as an office manager or transaction coordinator, the office manager or transaction coordinator owes the employing broker a duty to supervise. It is the broker who, in turn, is responsible to the client for any breach in agency duty caused by the office manager’s or transaction coordinator’s failure to supervise and correct an agent’s errors or omissions.
While most supervisory responsibility may be assigned to an office manager or transaction coordinator, the agency duty the broker owes to a client in a transaction may not be delegated to others. The broker’s agency obligations to the public cannot be avoided. [Barry v. Raskov (1991) 232 CA3d 447]
Office manager duties and limitations
When an employing broker becomes too busy to provide continuous oversight over all licensees, they may employ a licensee to act as an office manager to carry out the employing broker’s supervisory responsibility to review documents and maintain files.
The employing broker and their office manager review documents for unacceptable or incorrect activity and take necessary steps to correct any errors in a timely fashion. A lack of corrective action will expose the broker and their manager to liability for money losses incurred by the staff working on behalf of the broker, whether through error or malfeasance.
In addition to reviewing documents, the responsibilities of the appointed office manager include:
- oversight and supervision of day-to-day operations of all licensed activities in the real estate branch or division [Bus & P C §10164(a)];
- supervising the on-the-job activities of employed licensees; and
- managing unlicensed clerical staff employed in the branch office or division. [See RPI Form 507]
An office manager also assumes obligations for any sanctions and disciplinary actions by the DRE for their failure to properly supervise the activities of licensees and administrative employees on behalf of the employing broker. [Bus & P C §10164(b)]
When employing a licensee to carry out a broker’s responsibility for the oversight and management of their licensed and unlicensed staff, a written and signed agreement is necessary. [Bus & P C §10164(c); See RPI Form 510]
However, while an office manager carries out the duty to supervise employees, the employing broker retains overall supervisorial responsibility. An employing broker’s duty to supervise cannot be entirely delegated to others. Thus, the employing broker needs to periodically audit and review the actions of an office manager, and in turn, each employee. [DRE Regs. §2725]
The employment agreement for office managers
Licensees who may not be employed as an office manager include individuals who:
- hold a restricted DRE license;
- have been debarred by the DRE; or
- are salespersons with less than two years of full-time real estate experience within the past five years prior to the appointment. [Bus & P C §10164(d)]
An employing broker uses the Office Manager Employment Agreement published by RPI when employing a licensee as an office manager for their broker operations. The agreement establishes the office manager’s duties and the fee schedule for their earnings. [See RPI Form 510]
On employing an office manager, employing brokers are required to notify the DRE by preparing and filing the Branch or Division Manager Appointment form provided by the DRE. [See RE 242]
Likewise, on termination or change in the appointment of an office manager, brokers are to promptly notify the DRE in writing by filing the Branch or Division Manager Appointment form. [See RE 242]
The Office Manager Employment Agreement contains the:
- Agreements of the Office Manager [See RPI Form 510 §1];
- Agreements of the Broker [See RPI Form 510 §2];
- Fee Schedule for the Office Manager, including the percentage amount of the broker’s share of gross fees [See RPI Form 510 §3];
- Termination Provisions [See RPI Form 510 §4];
- General Provisions regarding dispute resolution protocols [See RPI Form 510 §5]; and
- Signatures of the office manager and employing broker. [See RPI Form 510]
Form navigation page published 09-2015. Updated 01-2026.
Form updated 03-2026.
Form-of-the-Week: Employment Agreements — For Transaction Coordinator and Office Manager — Forms 507 and 510
Form-of-the-Week: Office Manager Employment Agreement — Form 510
Article: Conditions for appointing branch office managers
Article: Management styles: how brokers run an office
Brokerage Reminder: The agent of the agent — reasonable supervision required
Brokerage Reminder: Branch office managers share responsibility for oversight and management








